Conceptual Acoustic Design for a Modern Recording Studio

With everything online anyway, I took the opportunity at the start of the 2021 to enrol myself in Berklee Online’s Architectural, Acoustic and Audio System Design for the Modern Production Studio, offered as part of their Music Production coursework. Being somewhat underwhelmed with Australia’s offerings for furthering acoustic knowledge in an academic framework, this course’s
Read More »

Auralising the “Tongue Drum”

Previously, we used finite element analysis to visualise the modal patterns and frequencies of the simple percussive instrument, the “Tongue Drum”. For this analysis, we’re going to switch from the frequency domain, to the time domain, with the ultimate goal of “hearing” our fully simulated drum! We’re back in MATLAB’s pde toolbox, this time leveraging
Read More »

Unpacking the Decibel

Once you’ve dealt with them for a while, working with values in decibels (dB) becomes second nature, and warrants little further thought. Sometimes though, the process of getting to that stage can pose a few hurdles, some of which I was exposed to recently via an undergraduate course I had to re-take as part of
Read More »

2-Axis Laser Controller

So, it’s been a pretty hectic time since I last posted – moving house (again) and also beginning my Masters and figuring out how to balance it with work while remaining sane (I have no advice sorry!) I thought I’d do a short post on the first iteration of a fun little personal project born
Read More »

October Update

To facilitate one of my next projects, I’m spending a bit of time wrapping my head around 3D Modelling in Blender. While its quite interesting for me, there’s not anything worth posting about, there is plenty of great basic tutorials and guides out there. As well as 3D acoustic models, you will likely see some Python
Read More »

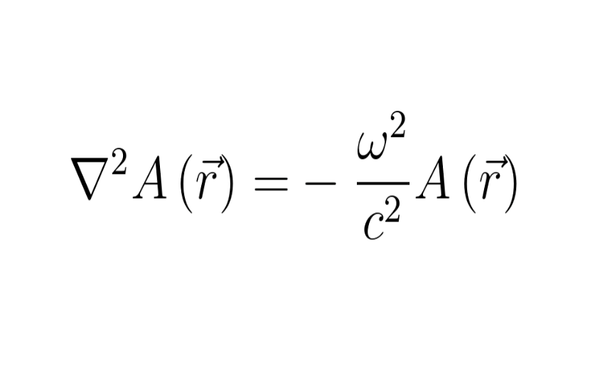
Deriving the Acoustic Wave Equation

FOREWORD While this is a derivation involving somewhat involved maths and physical concepts, I have purposefully made it quite “verbose” and explanatory in nature. Hopefully (if you are at least at the undergraduate physics level), there should not be too many stumbling points and should make logical progression without large leaps of faith. As such,
Read More »